Documents

Here is a list of the most recently uploaded documents. Use the search tool to find other documents of interest. Palliser documents for registration, transportation or other topics can be found here.

2022 - 2023 Assurance Framework

Category: School Info
Uploaded on September 26 2025

2022 - 2023 Assurance Framework

Category: School Info
Uploaded on September 26 2025

2024-2027 Assurance Framework

Category: School Info
Uploaded on June 27 2024

2025 - 2028 Assurance Framework

Category: School Info
Uploaded on September 26 2025

2025 - 2028 Assurance Framework

Category: School Info
Uploaded on September 26 2025

2025 - 2028 Assurance Plan

Category: School Info
Uploaded on June 3 2025

2025-2026 Division School Calendar - South

Category: Division Calendars
Uploaded on January 16 2025

25-26 School Calendar

Category: School Calendars
Uploaded on May 14 2025

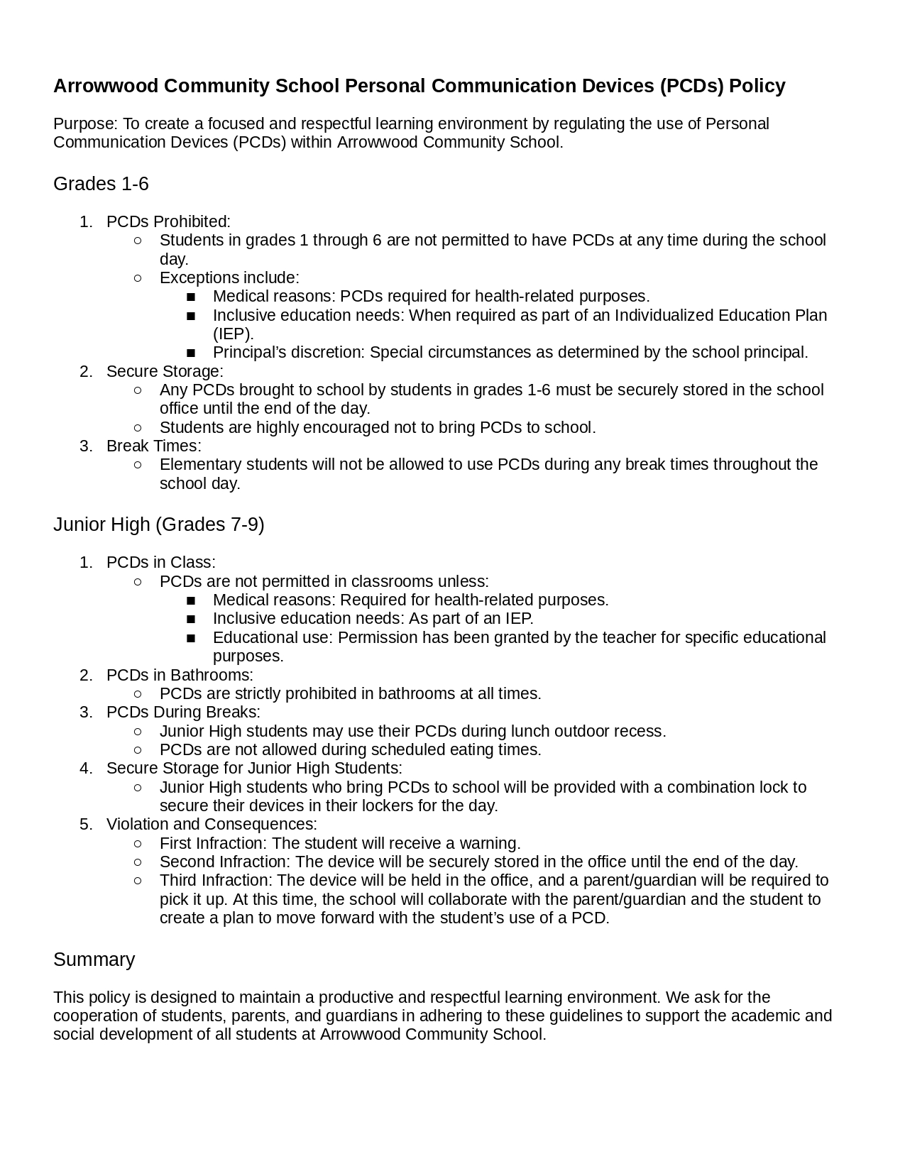
Arrowwood Community School Personal Communications Devices (PCDs) Policy

Category: School Info
Uploaded on September 13 2024

Grade 1/2/3

Category: School Supplies
Uploaded on June 25 2025

Grade 4/5/6

Category: School Supplies
Uploaded on June 25 2025

Grade 7/8/9

Category: School Supplies
Uploaded on June 25 2025

School Calendar 2024-2025

Category: School Calendars
Uploaded on May 2 2024